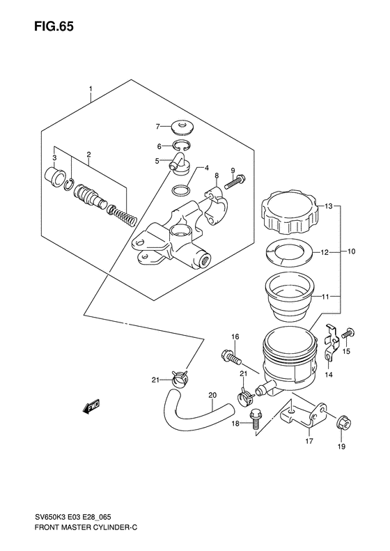
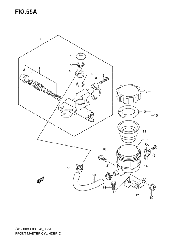
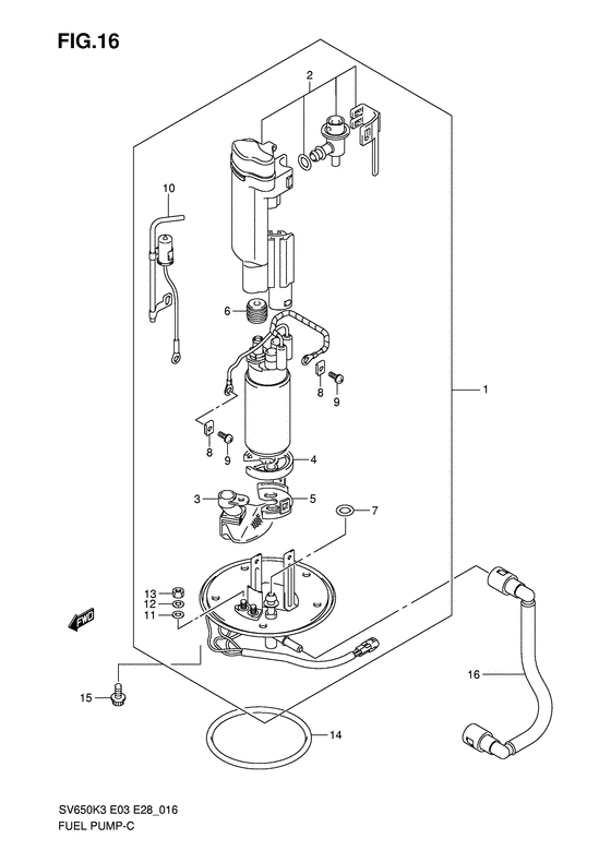
Запчасти для мотоциклов Suzuki SV650

Год: 2004  •  Код модели: SV650K4/SK4(E3/E28) K4  •  Объем двигателя: 650

Запчасти для мотоциклов Suzuki SV650
Вид: