• О Компании
  • Оплата и Доставка
  • Помощь
  • Обратная связь
  • Контакты
  • Telegram
  • ВКонтакте
  • Telegram
  • ВКонтакте
  • Регистрация
  • Авторизация
Интернет магазин мотозапчастей PartsFor.ru
Москва и регионы России
  • Личный кабинет
    • Заказы
    • Оплаты
    • Отгрузки
    • Сообщения
    • Профиль
    • Выход
  • Оригинальные запчасти
    • Для мотоциклов
    • Yamaha
    • Honda
    • Suzuki
    • Kawasaki
    • Harley Davidson
    • Ducati
    • Can-Am
    • Aprilia
    • BMW
    • Triumph
    • Husaberg
    • Husqvarna
    • KTM
    • Indian
    • Victory
    • Slingshot
    • Для мотоциклов
    • Для квадроциклов
    • Для снегоходов
    • Для мотовездеходов
    • Для гидроциклов
    • Для лодочных моторов
    • Для катеров
    • Для судовых двигателей
    • Для генераторов
    • Для квадроциклов
    • Yamaha
    • Honda
    • Suzuki
    • Kawasaki
    • Arctic Cat
    • Can-Am
    • Polaris
    • KTM
    • Для снегоходов
    • Yamaha
    • Arctic Cat
    • Lynx
    • Ski-Doo
    • Polaris
    • Для генераторов
    • Для мотовездеходов
    • Yamaha
    • Honda
    • Suzuki
    • Kawasaki
    • Arctic Cat
    • Can-Am
    • Polaris
    • Polaris RZR
    • Для гидроциклов
    • Yamaha
    • Honda Marine
    • Kawasaki
    • Arctic Cat
    • Polaris
    • Sea-Doo
    • Для лодочных моторов
    • Для катеров
    • Для суд. двигателей
    • Для генераторов
    • Для лодочных моторов
    • Yamaha
    • Honda Marine
    • Suzuki Marine
    • Evinrude
    • Johnson
    • Nissan
    • Tohatsu
    • Mercury
    • Force
    • Mariner
    • Для катеров
    • Yamaha
    • Sea-Doo
    • Для суд. двигателей
    • Для спецтехники
  • Неоригинал, расходники
  • Заказ по каталогам
    • КАТАЛОГ PARTS UNLIMITED
  • Моторезина
  1. Главная
  2. Запчасти для мотоциклов
  3. Suzuki
  4. RM100
  5. RM100

Запчасти для мотоциклов Suzuki RM100

Год: 2003  •  Код модели: RM100K3(E21) K3  •  Объем двигателя: 100

Запчасти для мотоциклов Suzuki RM100
Вид:

  • RM100 Catalog preface
    Catalog preface
  • RM100 Catalog preface
    Catalog preface
  • RM100 Catalog preface
    Catalog preface
  • RM100 Catalog preface
    Catalog preface
  • RM100 Catalog preface
    Catalog preface
  • RM100 Головка блока цилиндров / цилиндр
    Головка блока цилиндров / цилиндр
  • RM100 Воздухоочиститель
    Воздухоочиститель
  • RM100 Muffler comp
    Muffler comp
  • RM100 Crankshaft / piston
    Crankshaft / piston
  • RM100 Кикстартер
    Кикстартер
  • RM100 Бендикс
    Бендикс
  • RM100 Трансмиссия
    Трансмиссия
  • RM100 Переключение / вилка переключения
    Переключение / вилка переключения
  • RM100 Переключатель передач
    Переключатель передач
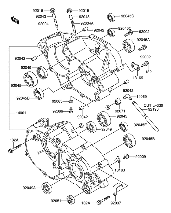
  • RM100 Картер двигателя
    Картер двигателя
  • RM100 Капот
    Капот
  • RM100 Carburetor assy
    Carburetor assy
  • RM100 Generators
    Generators
  • RM100 Система зажигания
    Система зажигания
  • RM100 Радиатор
    Радиатор
  • RM100 Frame comp
    Frame comp
  • RM100 Моторама
    Моторама
  • RM100 Маятник
    Маятник
  • RM100 Suspension ignition coil
    Suspension ignition coil
  • RM100 Подножки
    Подножки
  • RM100 Крыло
    Крыло
  • RM100 Stand comp
    Stand comp
  • RM100 Rear tire x
    Rear tire x
  • RM100 Передняя втулка
    Передняя втулка
  • RM100 Задняя втулка
    Задняя втулка
  • RM100 Педаль тормоза
    Педаль тормоза
  • RM100 Абсорбер удавный в сборе задний
    Абсорбер удавный в сборе задний
  • RM100 Передний тормозной цилиндр
    Передний тормозной цилиндр
  • RM100 Передний суппорт
    Передний суппорт
  • RM100 Задний тормозной цилиндр
    Задний тормозной цилиндр
  • RM100 Передний суппорт
    Передний суппорт
  • RM100 Руль
    Руль
  • RM100 Вилка передней оси
    Вилка передней оси
  • RM100 Tank fuel
    Tank fuel
  • RM100 Пружина
    Пружина
  • RM100 Clutch cable
    Clutch cable
  • RM100 Боковая крышка
    Боковая крышка
  • RM100 Owner's tool
    Owner's tool
  • RM100 Honda mark
    Honda mark
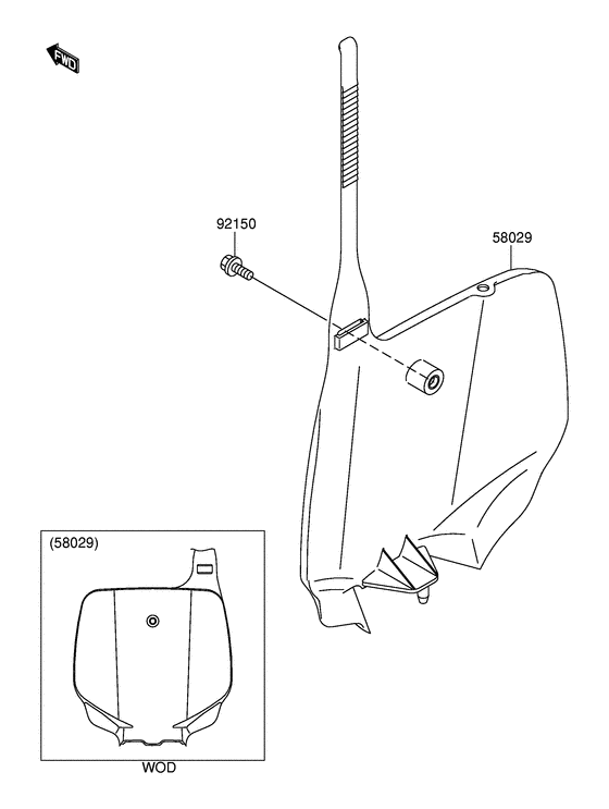
  • RM100 Наклейка
    Наклейка
  • RM100 Комплектующая
    Комплектующая



  Информация
  • Новости
  • О Компании
  • Оплата и Доставка
  • Помощь
  • Обратная связь
  • Контакты
  OEM запчасти
  • Запчасти для мотоциклов
  • Запчасти для квадроциклов
  • Запчасти для снегоходов
  • Запчасти для мотовездеходов
  • Запчасти для гидроциклов
  • Запчасти для лодочных моторов
  Наши контакты
  • ИП Зуев Артем Павлович
  • г. Москва 2-я Хуторская улица, д.29, офис 214
  • Email: info@partsfor.ru

Тел: ‎8(495) 532-03-60
8(909) 958-46-33; 8(925) 200-16-98

* все разговоры записываются
С 10.00 до 19.00 ПН - ПТ

© 2026 Интернет магазин запчастей для мототехники ПартсФор.

  • PaymentGateway
  • PaymentGateway
Договор-оферта
Образец договора для юр.лиц
Пользовательское соглашение
Политика конфиденциальности

Товар добавлен в корзину

Выбранный товар добавлен в Вашу корзину.
Далее Вы можете перейти в корзину для оформления заказа или закрыть это окно и продолжить покупки.

Перейти в корзину

Выбор модели техники

Выбрать