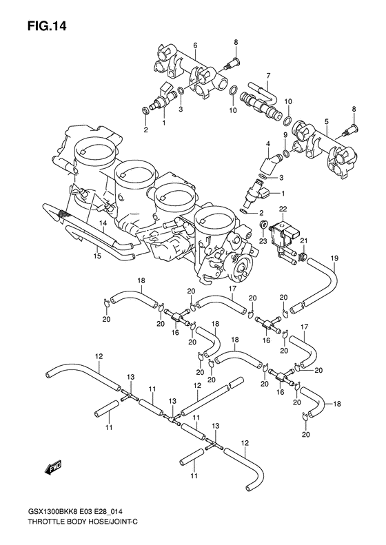
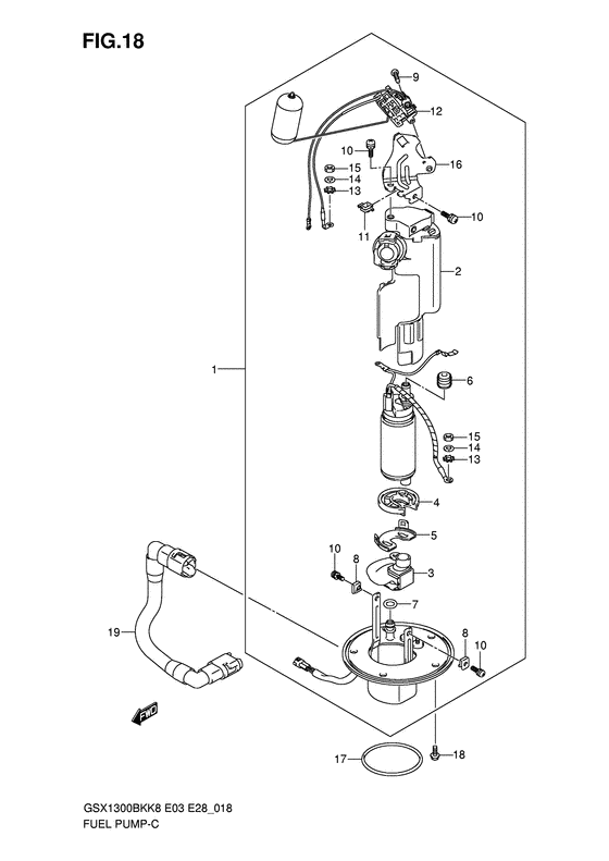
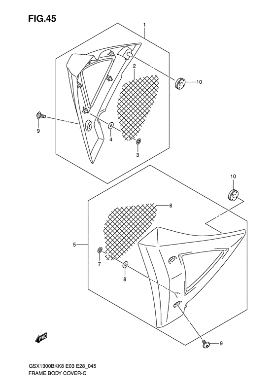
Запчасти для мотоциклов Suzuki GSX1300BK B-King

Год: 2009  •  Код модели: GSX1300BKK9(E3/E28) K9  •  Объем двигателя: 1300

Запчасти для мотоциклов Suzuki GSX1300BK B-King
Вид: