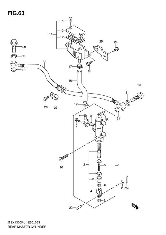
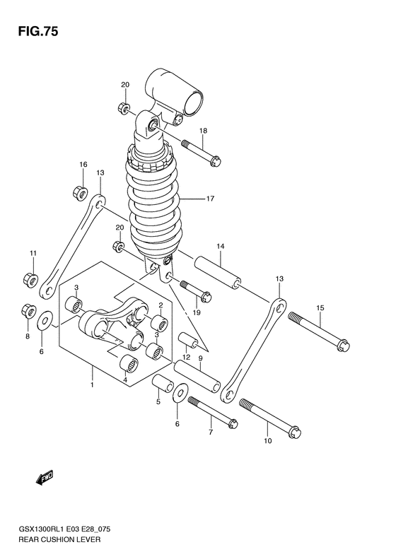
Запчасти для мотоциклов Suzuki GSX1300R Hayabusa

Год: 2011  •  Код модели: GSX1300RL1(E50) L1  •  Объем двигателя: 1300

Запчасти для мотоциклов Suzuki GSX1300R Hayabusa
Вид: