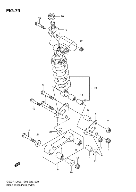
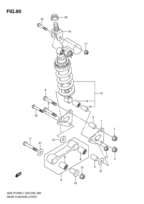
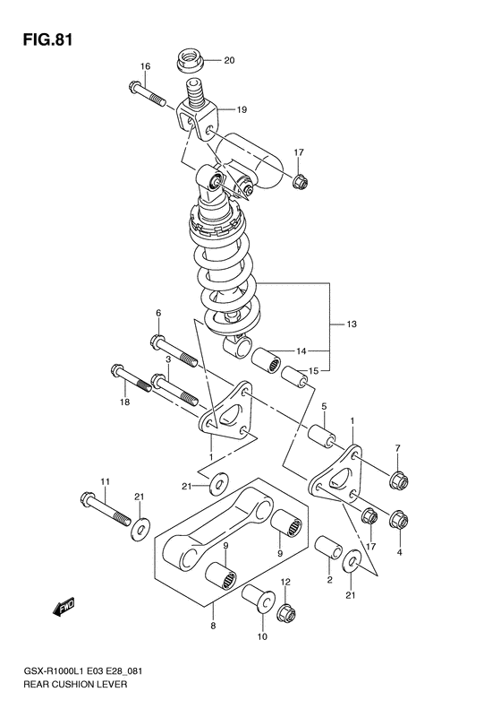
Запчасти для мотоциклов Suzuki GSX-R1000

Год: 2011  •  Код модели: GSX-R1000L1(E3/E28) L1  •  Объем двигателя: 1000

Запчасти для мотоциклов Suzuki GSX-R1000
Вид: