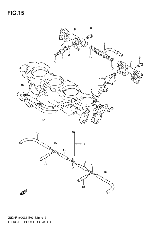
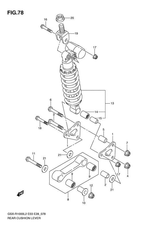
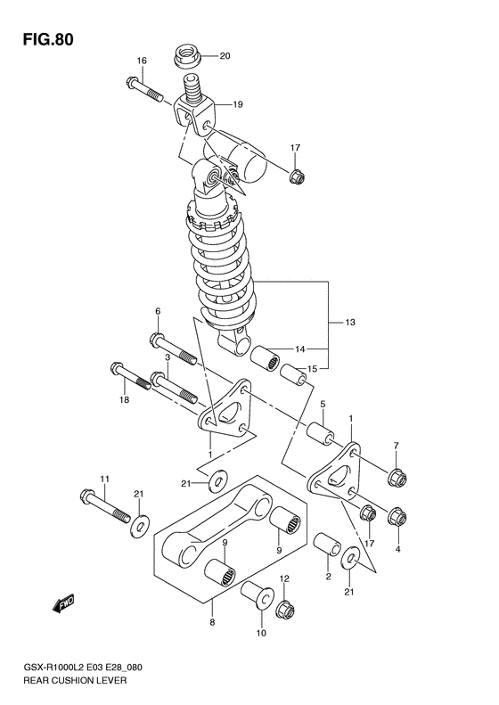
Запчасти для мотоциклов Suzuki GSX-R1000

Год: 2012  •  Код модели: GSX-R1000L2(E03) L2  •  Объем двигателя: 1000

Запчасти для мотоциклов Suzuki GSX-R1000
Вид: