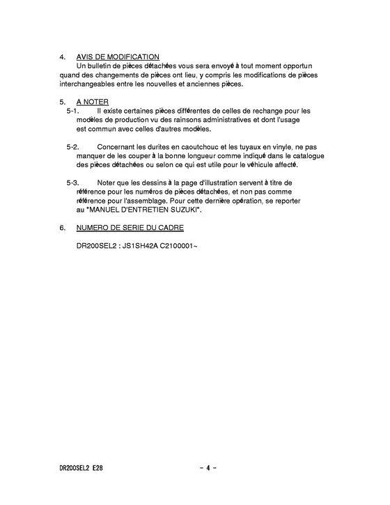
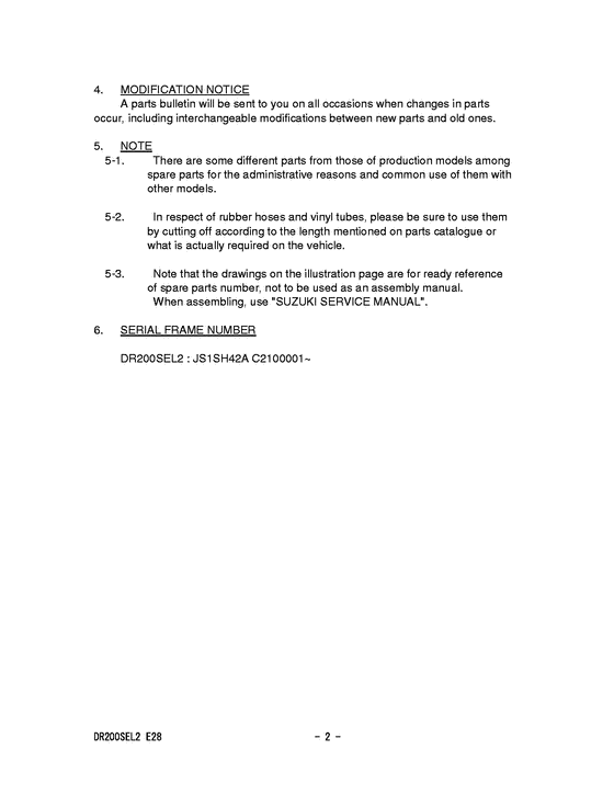
• О Компании
  • Оплата и Доставка
  • Помощь
  • Обратная связь
  • Контакты
  • Telegram
  • ВКонтакте
  • Telegram
  • ВКонтакте
  • Регистрация
  • Авторизация
Интернет магазин мотозапчастей PartsFor.ru
Москва и регионы России
  • Личный кабинет
    • Заказы
    • Оплаты
    • Отгрузки
    • Сообщения
    • Профиль
    • Выход
  • Оригинальные запчасти
    • Для мотоциклов
    • Yamaha
    • Honda
    • Suzuki
    • Kawasaki
    • Harley Davidson
    • Ducati
    • Can-Am
    • Aprilia
    • BMW
    • Triumph
    • Husaberg
    • Husqvarna
    • KTM
    • Indian
    • Victory
    • Slingshot
    • Для мотоциклов
    • Для квадроциклов
    • Для снегоходов
    • Для мотовездеходов
    • Для гидроциклов
    • Для лодочных моторов
    • Для катеров
    • Для судовых двигателей
    • Для генераторов
    • Для квадроциклов
    • Yamaha
    • Honda
    • Suzuki
    • Kawasaki
    • Arctic Cat
    • Can-Am
    • Polaris
    • KTM
    • Для снегоходов
    • Yamaha
    • Arctic Cat
    • Lynx
    • Ski-Doo
    • Polaris
    • Для генераторов
    • Для мотовездеходов
    • Yamaha
    • Honda
    • Suzuki
    • Kawasaki
    • Arctic Cat
    • Can-Am
    • Polaris
    • Polaris RZR
    • Для гидроциклов
    • Yamaha
    • Honda Marine
    • Kawasaki
    • Arctic Cat
    • Polaris
    • Sea-Doo
    • Для лодочных моторов
    • Для катеров
    • Для суд. двигателей
    • Для генераторов
    • Для лодочных моторов
    • Yamaha
    • Honda Marine
    • Suzuki Marine
    • Evinrude
    • Johnson
    • Nissan
    • Tohatsu
    • Mercury
    • Force
    • Mariner
    • Для катеров
    • Yamaha
    • Sea-Doo
    • Для суд. двигателей
    • Для спецтехники
  • Неоригинал, расходники
  • Заказ по каталогам
    • КАТАЛОГ PARTS UNLIMITED
  • Моторезина
  1. Главная
  2. Запчасти для мотоциклов
  3. Suzuki
  4. DR200
  5. DR200

Запчасти для мотоциклов Suzuki DR200

Год: 2012  •  Код модели: DR200SEL2(E28) L2  •  Объем двигателя: 200

Запчасти для мотоциклов Suzuki DR200
Вид:

  • DR200 Catalog preface
    Catalog preface
  • DR200 Catalog preface
    Catalog preface
  • DR200 Catalog preface
    Catalog preface
  • DR200 Catalog preface
    Catalog preface
  • DR200 Color chart
    Color chart
  • DR200 Feed set fuel
    Feed set fuel
  • DR200 Головка цилиндров
    Головка цилиндров
  • DR200 Цилиндр
    Цилиндр
  • DR200 Картер двигателя
    Картер двигателя
  • DR200 Crankcase cover ass`y  (v
    Crankcase cover ass`y (v
  • DR200 Вал коленчатый
    Вал коленчатый
  • DR200 Муфта стартера
    Муфта стартера
  • DR200 Распред вал / клапана
    Распред вал / клапана
  • DR200 Держатель направляющей
    Держатель направляющей
  • DR200 Carburetor assy
    Carburetor assy
  • DR200 Воздухоочиститель
    Воздухоочиститель
  • DR200 Muffler comp
    Muffler comp
  • DR200 Маслонасос
    Маслонасос
  • DR200 Бендикс
    Бендикс
  • DR200 Трансмиссия
    Трансмиссия
  • DR200 Переключение передач
    Переключение передач
  • DR200 Стартерный мотор
    Стартерный мотор
  • DR200 Зажигание
    Зажигание
  • DR200 Аккумулятор
    Аккумулятор
  • DR200 Equipo electrico
    Equipo electrico
  • DR200 СП
    СП
  • DR200 Фара
    Фара
  • DR200 Поворотники
    Поворотники
  • DR200 Задний комбинированный сигнал
    Задний комбинированный сигнал
  • DR200 Жгут проводов
    Жгут проводов
  • DR200 Рулевой переключатель
    Рулевой переключатель
  • DR200 Frame comp
    Frame comp
  • DR200 Stand comp
    Stand comp
  • DR200 Подножки
    Подножки
  • DR200 Tank fuel
    Tank fuel
  • DR200 Топливный кран
    Топливный кран
  • DR200 Обтекатель задний
    Обтекатель задний
  • DR200 Headlamp cover  front fender
    Headlamp cover front fender
  • DR200 Руль
    Руль
  • DR200 Рулевой рычаг
    Рулевой рычаг
  • DR200 Заднее крыло
    Заднее крыло
  • DR200 Honda mark
    Honda mark
  • DR200 Пружина
    Пружина
  • DR200 Передняя вилка
    Передняя вилка
  • DR200 Траверса нижняя
    Траверса нижняя
  • DR200 Transom + tube
    Transom + tube
  • DR200 Передний суппорт
    Передний суппорт
  • DR200 Передний тормозной цилиндр
    Передний тормозной цилиндр
  • DR200 Маятник задний
    Маятник задний
  • DR200 Втулки заднего рычага
    Втулки заднего рычага
  • DR200 Rear wheel complete assy
    Rear wheel complete assy
  • DR200 Опция
    Опция



  Информация
  • Новости
  • О Компании
  • Оплата и Доставка
  • Помощь
  • Обратная связь
  • Контакты
  OEM запчасти
  • Запчасти для мотоциклов
  • Запчасти для квадроциклов
  • Запчасти для снегоходов
  • Запчасти для мотовездеходов
  • Запчасти для гидроциклов
  • Запчасти для лодочных моторов
  Наши контакты
  • ИП Зуев Артем Павлович
  • г. Москва 2-я Хуторская улица, д.29, офис 214
  • Email: info@partsfor.ru

Тел: ‎8(495) 532-03-60
8(909) 958-46-33; 8(925) 200-16-98

* все разговоры записываются
С 10.00 до 19.00 ПН - ПТ

© 2026 Интернет магазин запчастей для мототехники ПартсФор.

  • PaymentGateway
  • PaymentGateway
Договор-оферта
Образец договора для юр.лиц
Пользовательское соглашение
Политика конфиденциальности

Товар добавлен в корзину

Выбранный товар добавлен в Вашу корзину.
Далее Вы можете перейти в корзину для оформления заказа или закрыть это окно и продолжить покупки.

Перейти в корзину

Выбор модели техники

Выбрать