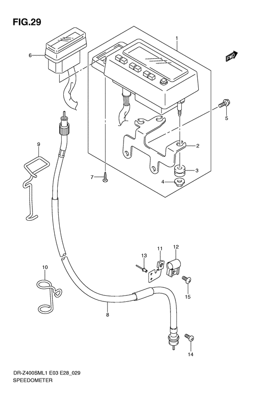
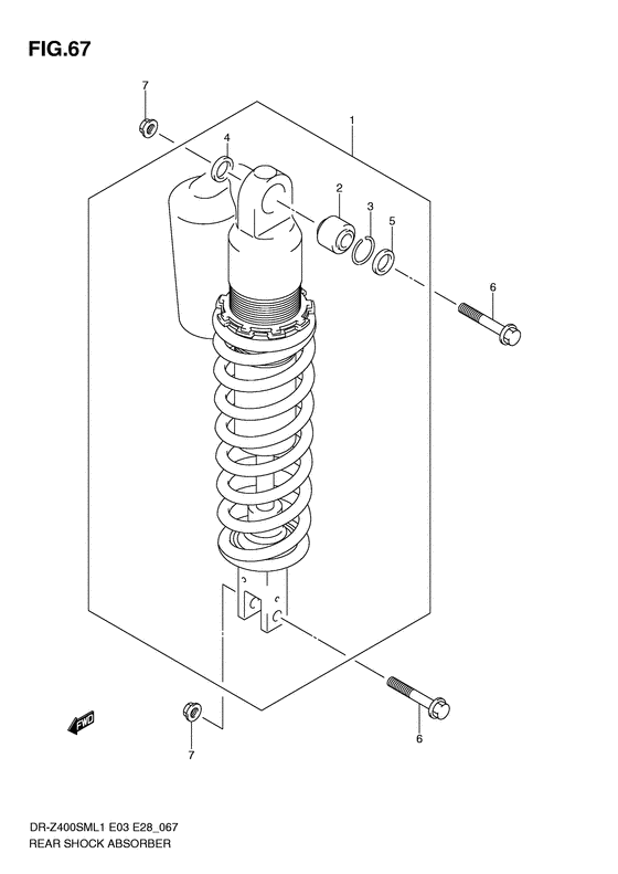
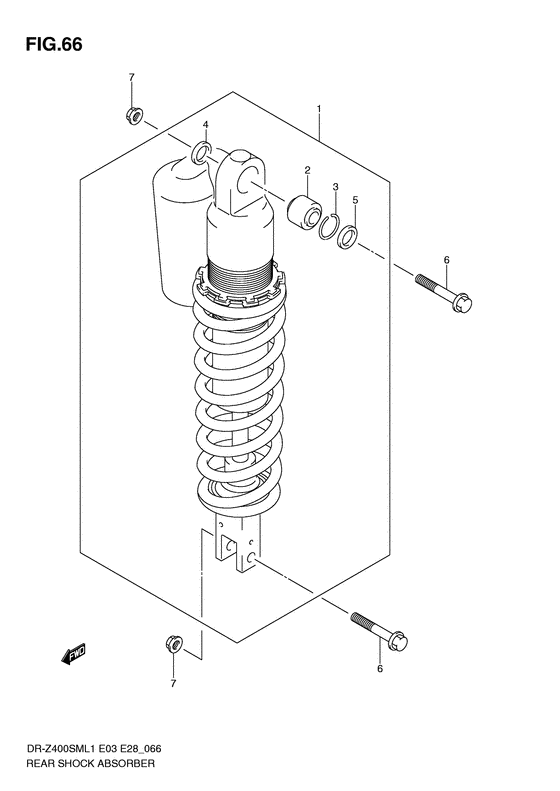
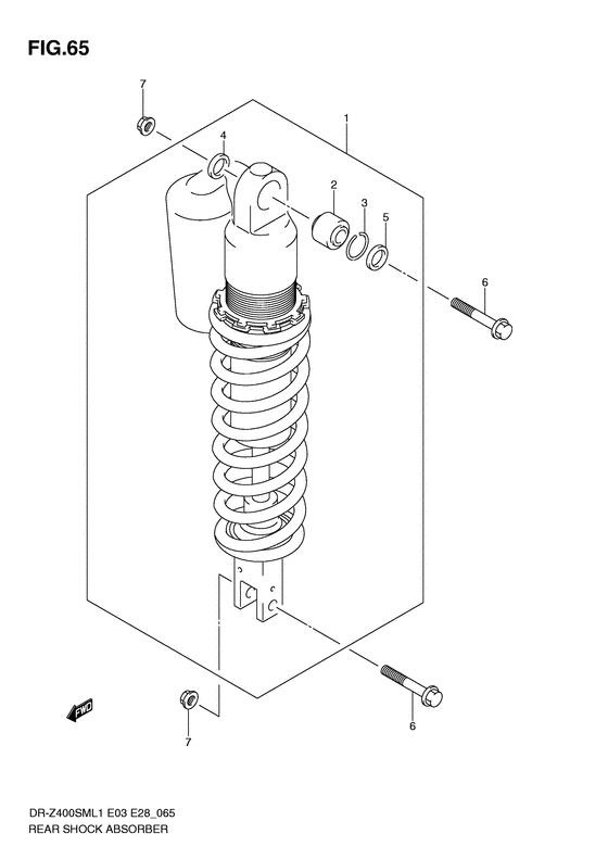
Запчасти для мотоциклов Suzuki DR-Z400

Год: 2011  •  Код модели: DR-Z400SML1(E3/E28) L1  •  Объем двигателя: 400

Запчасти для мотоциклов Suzuki DR-Z400
Вид: