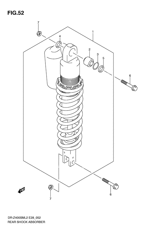
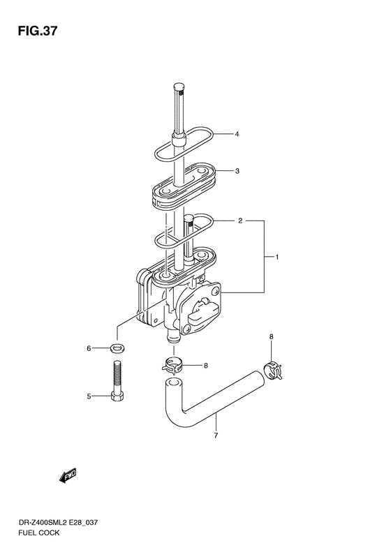
Запчасти для мотоциклов Suzuki DR-Z400

Год: 2012  •  Код модели: DR-Z400SML2(E28) L2  •  Объем двигателя: 400

Запчасти для мотоциклов Suzuki DR-Z400
Вид: