Запчасти для мотоциклов Suzuki DR-Z125 DR-Z125

Год: 2004  •  Код модели: DR-Z125K4(E3/E28) K4  •  Объем двигателя: 125

Запчасти для мотоциклов Suzuki DR-Z125 DR-Z125
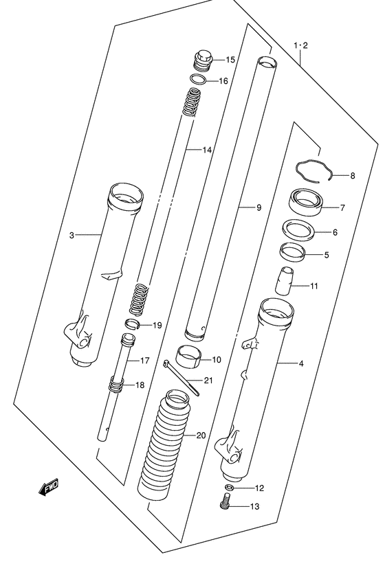
Вид: