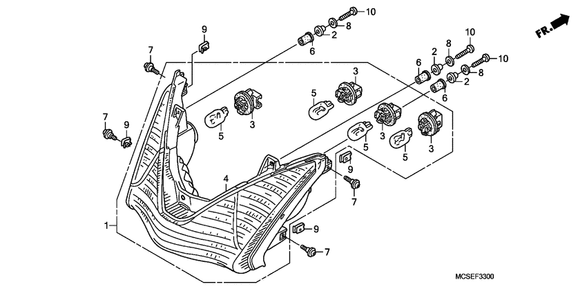
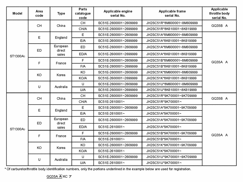
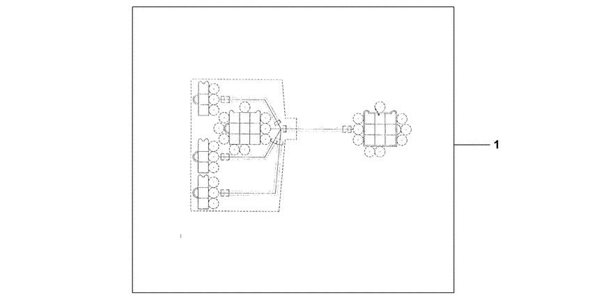
Запчасти для мотоциклов Honda ST1300 Pan-European

Год: 2009  •  Код модели: ST1300 A/A  •  Объем двигателя: 1300

Запчасти для мотоциклов Honda ST1300 Pan-European
Вид: