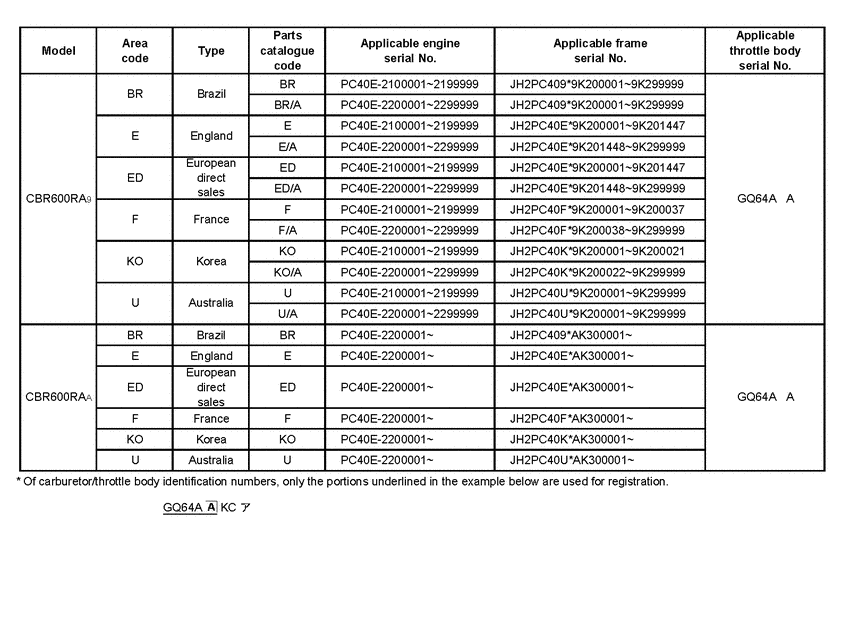
Запчасти для мотоциклов Honda CBR600RR (ABS)

Год: 2009  •  Код модели: CBR600RA9  •  Объем двигателя: 600

Запчасти для мотоциклов Honda CBR600RR (ABS)
Вид: