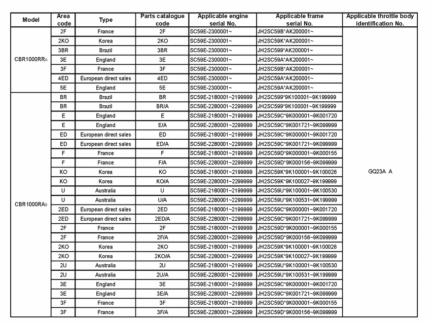
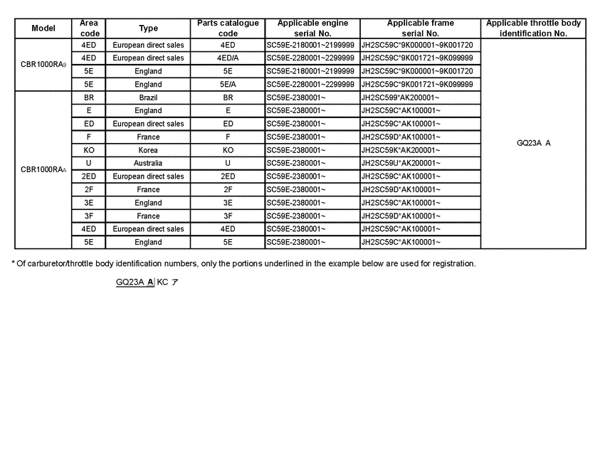
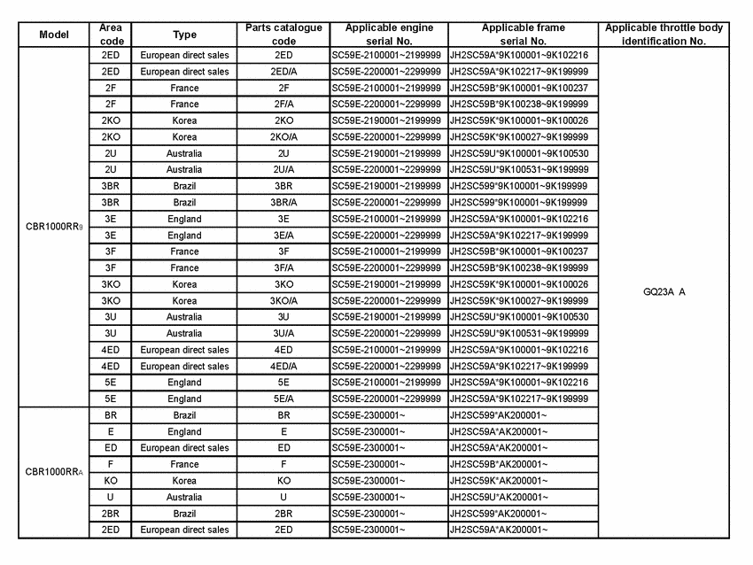
Запчасти для мотоциклов Honda CBR1000RR Fireblade

Год: 2010  •  Код модели: CBR1000RRA  •  Объем двигателя: 1000

Запчасти для мотоциклов Honda  CBR1000RR Fireblade
Вид: